近日,同济大学附属同济医院神经内科汪锡金教授在Nature 合作期刊npj Parkinson’s Disease杂志在线发表最新研究成果“High PSQI score is associated with the development of dyskinesia in Parkinson’s disease”,提出睡眠障碍(Pittsburgh Sleep Quality Index, PSQI≥6)是帕金森病(Parkinson’s Disease, PD)患者发生异动症(dyskinesia)的独立危险因素,并构建异动症的预测模型,该模型具有很高的准确性。通过对睡眠障碍与异动症相关性的研究,为异动症发生机制的研究及防治提供新的研究方向。

异动症是帕金森病常见的运动并发症,且随着疾病的进展,异动症的发生率明显增加,严重影响患者的活动能力及生活质量,早期识别可能发生的异动症,并进行危险因素的干预,对异动症的防治具有重要的价值和意义。
研究认为异动症的发生与神经环路的异常密切相关,神经环路的稳态依赖于好的睡眠质量,大量研究表明PD患者存在睡眠障碍,但缺乏前瞻性研究探讨PD患者睡眠质量与异动症的相关性。本研究通过对PD患者进行为期36个月的随访观察,应用R语言进行统计分析,构建PD患者发生异动症的预测模型,研究表明,睡眠质量差(PSQI≥6)是PD患者发生异动症的独立危险因素。
总共61名基线状态时不伴有异动症的PD患者完成本随访研究。首先应用KM曲线显示PD患者在未来3年发生异动症的风险(图1),结果显示自研究开始第24月、28月、32月及35月时,发生异动症的风险为别为8.2%、11.5%、21.3%和32.8%。
异动症累积风险KM曲线
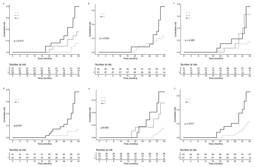
随后,通过应用KM曲线显示一些临床变量对患者发生异动症的累积风险的影响,结果显示,与睡眠质量好的患者比较,睡眠质量差的PD患者发生异动症的风险增高(p = 0.017)。

不同临床变量影响异动症发生风险的KM曲线
本研究进一步进行多变量COX回归分析,依据结果,将PD病程、睡眠质量、认知、抑郁及每日左旋多巴等效剂量纳入异动症风险模型,其中高PSQI(PSQI≥6)是PD患者发生异动症的独立危险因素(HR=2.96, 95% CI 1.05-8.35, p = 0.041)。
多变量回归分析森林图
最后,使用时间依赖的受试者工作特征(Receiver operating characteristic, ROC)曲线下面积(area under the curve, AUC)来评估上述模型的准确度,结果表明,自研究开始至24月、28月和32月,AUC分别为0.78、0.80和0.78,在第35月,模型的准确度达到最高,AUC为0.83。
预测异动的时间依赖受试者工作特征曲线
综上,本研究的结果表明高PSQI评分是PD患者发生异动症的独立危险因素,作为一个有效且极易获取的睡眠质量指标,PSQI有望成为PD患者异动症防治的有前景的靶点之一。
//
同济大学附属同济医院神经内科医师唐晓慧为该论文的第一作者,同济大学附属同济医院神经内科汪锡金教授和同济大学附属东方医院马国诏教授为该论文的共同通讯作者,美国Rush大学医学中心杨净云教授和复旦大学数学系朱一宁博士参与本研究的工作,同济大学附属同济医院神经内科龚海燕护长、孙慧博士、陈凡博士、管强教授和上海交通大学医学院附属新华医院神经内科余力加博士以及苏州明基医院王伟佳主任、张增平主任、李丽医师等人为该论文的共同作者。本研究得到国家自然科学基金等项目的资助。
专家名片

汪锡金
同济大学附属同济医院
神经内科主任医师
专家门诊:周一上午、周三上午
医学博士,主任医师,教授,博士生导师
同济大学附属同济医院神经内科常务副主任
曾赴美国哈佛大学医学院BWH神经疾病中心等学习深造
中国健促会神经变性病专委会(拟任)主委、中国老年医学学会神经医学分会常委
中国人体健康科技促进会神经急诊重症监护专业委员会常委
上海市中西医结合学会脑心同治专业委员会常委
国家自然科学基金委、国家教委、上海市科委等项目的评审人
Frontiers in neuroscience、Frontiers in neurology、Parkinson’s disease等杂志的特约编辑
Neurobiology of disease、Experimental Neurology、Neuroscience、International Journal of Nanomedicine等杂志的审稿人
发表SCI论文多篇,参与编写著作2本
以主要完成人身份获国家高校自然科学奖一和二等奖等多项奖励
主持国家自然科学基金等项目
专业主攻方向:
脑血管病、运动和认知障碍、头痛头晕、睡眠障碍等疾病的诊治
网上预约挂号


图文 | 神经内科 唐晓慧
编辑 | 赵思思 王北墨
校审 | 谢壮丽
点击文末左下角“阅读原文”查看论文