
传承劳育传统 培养时代新人
1917年,为适应民族工商业发展对商业人才的需求,南京高等师范学校增设商业专修科,此为上海财经大学的历史源头。自商科设立,便有注重联系实际、参与实习实践的传统。1918年10月,郭秉文在关于南京高等师范学校概况的报告书中曾称:“本校实习有两种:(一)为实科之实习……如工有工场实习,农有农场实习,商有商社实习,平日则在校中实习,暑假则派往相当之处所实习”,且“每班学生毕业前,均派往有关系之机关参观一切”。

1917年6月,南京高等师范学校添设农工商各专修科报告书

南京高等师范学校校门
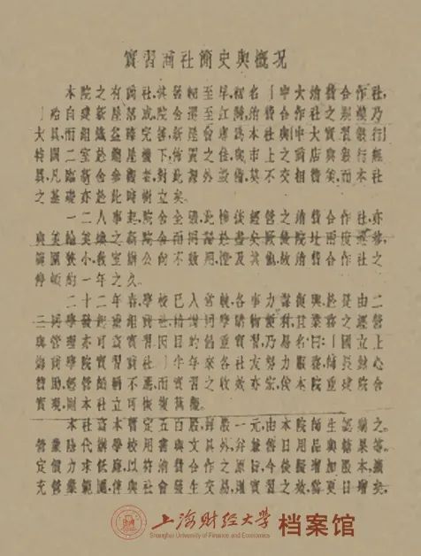
1927年,国立东南大学改组并更名为国立第四中山大学,学校作为其商学院,即设有银行实习室。《第四中山大学教育行政周刊》(1927年7月25日)中《第四中山大学扩充教育部组织条例》第三条记载:本部设劳动教育,社会教育二课。1928年5月,学校改称国立中央大学,其中商学院仍设有银行实习室,同时与本埠工商界及金融界洽商轮送本院学生赴各厂行实习。1929年春,学院扩充银行实习室改为中大实习银行,又设消费合作社,为学生实习提供便利。同年秋,设工商调查部,随时指派学生担任调查工作,给予学生实习考察的机会。


1929年,中大商学院实习银行与消费合作社

1931年,国立中央大学商学院新校舍
1932年,国立中央大学商学院独立建制,更名为国立上海商学院。1936年,学院公布并实施《国立上海商学院学生实习规程》,明确:各学系学生于毕业前,均应实习一次(翌年2月制定的实习办法调整为“自第二学年起,须于寒假或暑假内在校外实习”);实习地点由学校指定,实习时间定为八周……实习工作未完毕时也不得毕业。上海解放后,学院组织学生整理校园、搬运图书、协助接管清点工作。同年七月,成立上海商学院师生员工劳军支会,组织同学前往灾区抢救灾民。

实习商社简史与概况
1950年8月2日,国立上海商学院正式更名为上海财政经济学院,以“理论联系实际”为新时期的办学方针,实行三年课堂学习、半年生产实习的新学制,有计划地安排教师和学生到农村、工厂和商店开展社会调查。1951年5月,学校安排各系学生分别赴山东及苏北老区农村合作基地实习、参加各企业工厂现场实习等。1954年8月,中央教育部公布的财经类教学计划规定:四年内安排生产实习18周。1957年学校第一批下乡参加生产劳动的报名率高达99.5%,足见当时师生参加劳动热情之高。

1951年,孙冶方在开学典礼上作重要报告,强调“首先要打破轻视劳动的观点”

1951年6月,孙冶方为学校1951届毕业生题词

《生产实习纪念册》(1954年)
在1958年的校报《党委会召开全院师生员工大会报告整改工作》中姚耐院长向全院师生提出今后六项任务,其中之一即是“勤俭办学,劳动教育”,他强调“学校中应树立俭朴的风气;同时学校所要培养的是劳动者,不是脱离实际,脱离群众,脱离工农的知识分子,应该首先是一个劳动人民”。1958年,学校与其他单位合并组建上海社会科学院,在并校前夕,上海财经学院学生会委员会代表全体同学,提出坚决拥护并校,并作出保证:坚决执行集中劳动和集中调查研究的决定……在暑期中积极参加工农业生产劳动。

1952年7月,前往上海电机厂实习学生合影

1952年7月,学生下农村调查

1957年6月,彭辉芳老师带领学生蒋克珍在浙江嵊县崇仁茶叶收购站生产实习
1961年,学院提出《关于修订教学计划中几个共同性问题的意见》,其中拟安排四学年教学时间136周,生产劳动(集中劳动)时间约32周,且生产实习应根据实习大纲尽可能地结合生产劳动进行。1962年,上海市高教局《关于加强学生参加生产劳动的几点建议》中强调,“把生产实习、野外实习、社会调查来代替生产劳动或把劳动作为获得知识的手段的作法和看法,都是不够妥当的”,“不得占用劳动时间上课或进行其他与劳动无关的活动”,可见当时对于劳动教育的重视。对1963级两位校友的访谈中,我们了解到在毕业分配时也会安排学生先参加劳动锻炼,培养学生勤俭节约、坚持奋斗的品质,从而更好地投入服务人民、建设祖国的工作中。

1962年12月,上海市高教局关于加强学生参加生产劳动的几点意见
1978年,学校复校。20世纪80年代,学校在恢复重建的过程中,于1983年建立金工实习工场;1985年,与上海市会计学会合办大华会计师事务所;1991年,与宝山区人民政府签订产学合作协议,建立学生学农基地,为学生提供稳定的实习场所。在实习时间安排上,1987年《教学一览·本科》中提及学生四年中安排实习不少于8周。1997年,学校制定《学生毕业实习的若干规定》,明确本科各专业的第八学期有为期12周的毕业实习,并鼓励学生带着课题到实习单位实习,帮助其解决某些实际问题。学生们积极参加实践劳动,1990年在大场镇东方红村劳动的工经系学生贺庆对前来慰问的领导们说的第一句话“我们早就应该来了!”参加宝山区农村劳动的上海财经大学会计系学生赵广齐曾说“下乡学农,与农民同吃同住同劳动,使我们进一步理解了稳定的内涵和意义。”学生们在劳动中锻炼了体魄,磨炼了意志。

80年代初,上海财经学院1978级工业经济专业部分同学社会调查
2006年到2017年间,学校进一步完善实践教学方案,一方面结合课程教学的内容和要求,组织学生开展各种类型的咨询、调查等活动。另一方面增强校外实习基地建设的力度。在暑期社会实践和社会调查活动方面,从2008年起连续每年组织开展“千村调查”等社会调研活动,围绕“农村、农民、农业”相关主题开展,通过“走千村、访万户、读中国”,逐步形成融国情教育、社会实践、主题教育、劳动教育、科学研究、学科建设于一体的人才培养模式。在劳动教育与实践中,上财学子不断提高自身的能力、意志力与信念感,努力成长为全面发展的新时代青年。

上海财大学生走千村访万户读中国
(2009年中国教育报报道)


上财学子参与“千村调查”
为深入贯彻党的教育方针,大力提升上财学生劳动素养,2020年4月27日,上海财经大学在国内高校中率先发布详细的劳动教育三年行动计划——《上海财经大学新时代劳动教育行动计划(2020-2023)》,全面开启劳动教育新篇章。

来源 | 档案馆(校史馆)/ 博物馆、宣传部
